Квадратные уравнения

В этом курсе

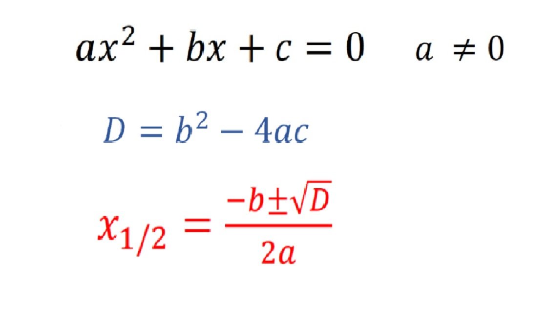
Учимся решать квадратные уравнения

Применяем теорему Виета

Раскладываем на множители квадратные трёхчлены

Решаем различные уравнения,

преобразуя их в квадратные:

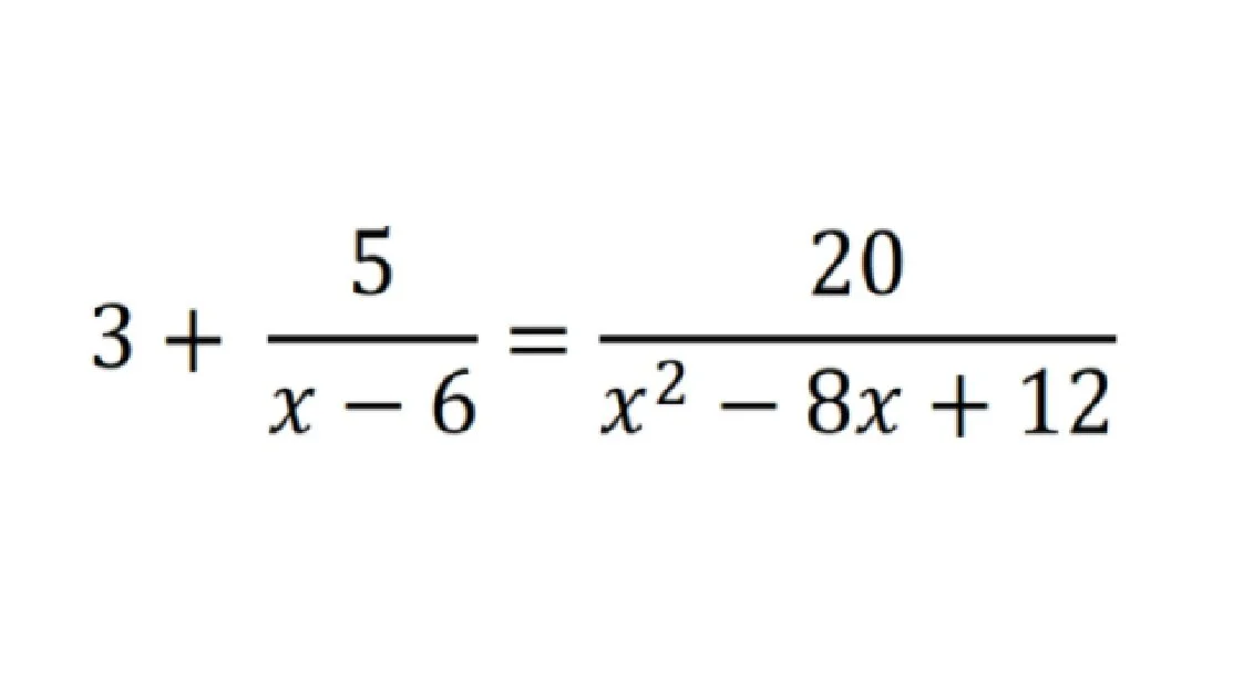
уравнение с дробями, биквадратные уравнения, уравнения 4-й степени с полным квадратом, уравнения со взаимно обратными выражениями, возвратные уравнения 4-ой степени, уравнения, левая часть которых является произведением четырёх множителей. Решаем квадратное уравнение с параметром

Все уравнения решаем во множестве действительных чисел

Пример урока из курса. Уравнение со взаимно обратными дробями

Приобрести курс (12$) можно, написав на почту rehcs24@gmail.com